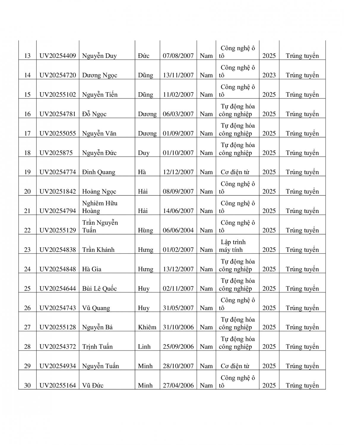
46 thí sinh đã trúng tuyển hệ trung cấp khóa 1 tại Trường cao đẳng nghề Bách khoa Hà Nội đợt 4 (từ 4/8-17/8)



Tư vấn tuyển sinh hệ Trung cấp:
Hotline: 0928 031 868 – 0983 019 295
(024) 3218 1635
Email: ts-trungcap@hactech.edu.vn
P101, số 15A Tạ Quang Bửu, Phường Bạch Mai, Hà Nội
Fanpage: Tuyển sinh Trung cấp Bách Khoa – HACTECH